-
Gęstość obciążenia ogniowego ↓
-
Metoda obliczania gęstości obciążenia ogniowego ↓
-
Wartości liczbowe ciepła spalania wybranych materiałów ↓
-
Dla kogo oblicza się gęstość obciążenia ogniowego? ↓
Obciążenie ogniowe przedstawia ilość materiału palnego jaki jest zgromadzony na danej powierzchni. Dla ujednolicenia zasad określania wielkości obciążenia przyjęto wyrażenie [MJ/m2], które oznacza energię cieplną, wyrażoną w megadżulach, która może powstać przy spaleniu materiałów palnych znajdujących się w pomieszczeniu, strefie pożarowej lub składowisku materiałów starych przypadająca na jednostkę powierzchni tego obiektu, wyrażona w metrach kwadratowych.
Zgodnie z ogólną zasadą określania wartości obciążenia ogniowego należy zastosować pewne korekty w celu uwzględnienia nierównomierności rozłożenia materiału w pomieszczeniu.
Przy obliczaniu gęstości obciążenia ogniowego należy uwzględnić materiały palne składowane, wytwarzane, przerabiane lub transportowane w sposób ciągły, znajdujące się w danym pomieszczeniu, strefie pożarowej lub składowisku.
Gęstość obciążenia ogniowego powinna być obliczana przy założeniu, że wszystkie materiały znajdujące się w danym pomieszczeniu, strefie pożarowej lub składowisku są równomiernie rozmieszczone na powierzchni.
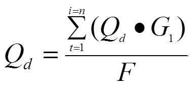
Metoda obliczania gęstości obciążenia ogniowego
Gęstość obciążenia ogniowego Qd w megadżulach na metr kwadratowy należy obliczać według wzoru, w którym:
n – liczba rodzajów materiałów palnych znajdujących się w pomieszczeniu,
strefie pożarowej lub składowisku,
G1 – masa poszczególnych materiałów w kilogramach,
F – powierzchnia rzutu poziomego pomieszczenia, strefy pożarowej lub składowiska w metrach kwadratowych,
Q – ciepło spalania poszczególnych materiałów w megadżulach na kilogram (wartości liczbowe ciepłe spalania niektórych materiałów przedstawiono w załączniku)

Zasada ogólna – metody obliczania gęstości obciążenia ogniowego
Przy obliczaniu gęstości obciążenia ogniowego należy uwzględnić materiały palne składowane, wytwarzane, przerabiane lub transportowane w sposób ciągły, znajdujące się w danym pomieszczeniu, strefie pożarowej lub składowisku.
Gęstość obciążenia ogniowego powinna być obliczana przy założeniu, że wszystkie materiały znajdujące się w danym pomieszczeniu, strefie pożarowej lub składowisku są równomiernie rozmieszczone na powierzchni rzutu pomieszczenia, strefy pożarowej lub składowiska. W przypadku, gdy strefa pożarowa składa się z wielu pomieszczeń gęstość obciążenia ogniowego strefy pożarowej oblicza się według wzoru, w którym:
Qdi – gęstość obciążenia ogniowego poszczególnych pomieszczeń w megadżulach na metr kwadratowy,
F1 – powierzchnia poszczególnych pomieszczeń strefy pożarowej w metrach kwadratowych,
Przy obliczaniu gęstości obciążenia ogniowego nie należy uwzględniać następujących materiałów:
- zanurzonych w wodzie i roztworach wodnych,
- zawartości wody ponad 60%.

Materiały palne przyjmowane do obliczeń w ilości 10% rzeczywistej ich masy
Przy obliczaniu gęstości obciążenia ogniowego uwzględnia się tylko 10% masy rzeczywistej materiałów palnych o następującej postaci lub o następującym sposobie składowania:
- Papier w rolach o średnicy co najmniej 0,5m i długości co najmniej 1m,
- Papier w belach o wymiarach co najmniej 0,20 x 1 x 1m,
- Drewno okrągłe o średnicy co najmniej 0,2m,
- Węgiel kamienny i koks w pryzmach i zwałach o wysokości co najmniej 1m,
- Zboże, wysłodki buraczane itp. w stosach i pryzmach wysokości powyżej 1m,
- Płyty drewnopochodne, ułożone w stosy ściśle, bez przekładek, o wymiarach stosów 1 x 1 x 1m,
- Zboże w zasiekach i komorach wykonanych z materiałów niepalnych,
- Mrożonki owocowo-warzywne w kartonach, workach papierowych, foliowych itp. złożone na paletach drewnianych w tym foliowanych,
- Przetwory owocowo-warzywne w puszkach, słoikach, butelkach na paletach drewnianych (w tym foliowanych), w skrzynkach drewnianych, plastikowych, kartonach,
- Napoje niegazowane i gazowane, składowane jako wyrób gotowy na paletach drewnianych (w tym foliowanych), w skrzynkach drewnianych, plastikowych, kartonach
Materiały palne przyjmowane do obliczeń w ilości 20% rzeczywistej ich masy
Przy obliczaniu gęstości obciążenia ogniowego uwzględnia się tylko 20% masy rzeczywistej materiałów palnych o następującej postaci lub następującym sposobie składowania:
- zboże, cukier, mąka, kasze itp. w workach ułożonych w stosy, warstwy itp., ograniczenie to nie dotyczy nasion oleistych,
- papa smołowa i asfaltowa w rolkach,
- papier w procesach poligraficznych prasowany w ściśle ukształtowane paczki półproduktu (krudy) oraz jako produkt gotowy po obróbce introligatorskiej w pełno paletowych ładunkach o masie ponad 400 kg.
Dla kogo oblicza się gęstość obciążenia ogniowego ?
- firmy, przedsiębiorstwa składujące, magazynujące duże ilości materiałów palnych,
- ubezpieczalnie,
- właściciele firm starających się o odszkodowanie po wystąpieniu pożaru w magazynie materiałów palnych.
W/w obliczenia zawierane są także w Instrukcjach Bezpieczeństwa Pożarowego.
Wartości liczbowe ciepła spalania wybranych materiałów przedstawiono w tabeli:
| Lp. | Rodzaj materiału | Qcl – Ciepło spalania [MJ/kg] |
| 1 | Aceton | 31 |
| 2 | Acetylen | 50 |
| 3 | Acetyloaminobenzen | 31 |
| 4 | Alkohole:
allilowy amylowy benzylowy butylowy cetylowy etylowy metylowy propylowy izopropylowy |
38
32 33 36 62 30 23 34 31 |
| 5 | Aluminium (proszek, folie) | 31 |
| 6 | Asfalt | 40 |
| 7 | Bakelity | 20 |
| 8 | Benzen | 44 |
| 9 | Benzyna (średnio) | 47 |
| 10 | Bitum | 35 |
| 11 | Butan | 46 |
| 12 | Butylen | 49 |
| 13 | Celuloid | 17 |
| 14 | Celuloza | 18 |
| 15 | Drewno (zawartość wilgoci do 12 %) | 18 |
| 16 | Drewno (zawartość wilgoci pow. 12 %) | 15 |
| 17 | Dwusiarczek węgla | 23 |
| 18 | Guma (średnio) | 40 |
| 19 | Guma piankowa | 37 |
| 20 | Koks | 29 |
| 21 | Len (surowiec i wyroby) | 15 |
| 22 | Linoleum | 21 |
| 23 | Magnez | 28 |
| 24 | Makaron | 15 |
| 25 | Margaryna | 31 |
| 26 | Masło | 31 |
| 27 | Metan | 57 |
| 28 | Nitrobenzen | 25 |
| Lp. | Rodzaj materiału | Qcl – Ciepło spalania [MJ/kg] |
| 29 | Oktan | 48 |
| 30 | Oleje:
Gazowe napędowe mineralne do łożysk rycynowy parafinowy lniany |
44
40 37 42 |
| 31 | Opony gumowe | 32 |
| 32 | Papier | 16 |
| 33 | Pianka poliuretanowa (PU) | 26 |
| 34 | Pleksiglas (szklą organiczne) (PMN) | 27 |
| 35 | Płyta wiórowa | 18 |
| 36 | Poliamidy (P A) | 29 |
| 37 | Polichlorek – wyroby plastyfikowane (PCV) | 25 |
| 38 | Polichlorek winylu | 21 |
| 39 | Poliester | 31 |
| 40 | Poliester, wzmacniany włóknem | 21 |
| 41 | Polietylen i wyroby (PE) | 42 |
| 42 | Polipropylen (PP) | 43 |
| 43 | Polistyren i wyroby (PS) | 42 |
| 44 | Poliuretany (PU) | 25 |
| 45 | Poliwęglany (PC) | 29 |
| 46 | Produkty naftowe (średnio) | 44 |
| 47 | Propan | 46 |
| 48 | Ropa naftowa | 41 |
| 49 | Smary | 41 |
| 50 | Smoła | 35 |
| 51 | Szmaty (średnio) | 19 |
| 52 | Tekstylia | 19 |
| 53 | Tlenek węgla | 10 |
| 54 | Tworzywa ABS | 36 |
| 55 | Węgiel antracytowy | 33 |
| 56 | Węgiel brunatny | 22 |
| 57 | Węgiel drzewny | 30 |
| 58 | Węgiel kamienny (średnio) | 32 |
| 59 | Żywica melaminowa | 18 |
| 60 | Żywice karbamidowe | 17 |